文章来源:350vip浦京集团官网 发布于:2025-03-06 浏览:1221
结构方程模型(SEM)的研究表明,二阶潜增长模型(SOLGM)是评估纵向干预效果的更为合适的方法,但其应用仍要求研究者至少收集三波数据(例如随机化的前测、后测和追踪设计)。在某些情况下,由于资源限制(如:科研经费以及预算时间)研究者往往只能收集到两波数据。在仅有双波数据的情况下,SOLGM无法被识别(在对参数不加任何限制的前提下),研究者通常会选择其他结构方程模型(SEM)来拟合双波数据。近些年,有外国学者研究表明,双波纵向共同因子模型(2W-LCFM)和双波潜变化得分模型(2W-LCSM)在比较组间潜在变化方面表现良好。然而,关于这两种双波模型在多大程度上能准确估计三波二阶潜增长模型(3W-SOLGM)所获得的潜在变化的组效应,目前仍缺乏实证证据。
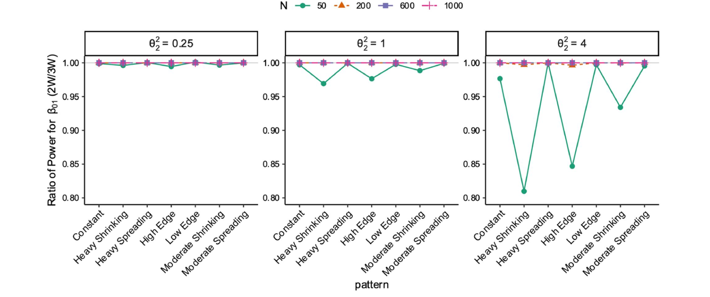
近日,350vip浦京集团官网杜晨光博士,日本教授Kazuki Hori (一辉君) 和美国教授Yasuo Miyazaki( 宫崎君),联合在国际著名期刊Structural Equation Modeling: A Multidisciplinary Journal 发表了一项题目为“Two-Wave Models for Latent Changes: How Well Can They Recover the Parameters of the Three-Wave Growth Curve Model“的研究 。该研究通过数学推导和模拟试验的研究方法,考察了在不同条件下(包括样本量大小,固定截距和固定斜率,随机效应方差,时间特征残差大小,以及时间特征残差的变化方式),三波模型(3W-SOLGM)的固定效应可以从双波模型的参数估计中恢复的程度。结果表明: (1)当在线性增长的假设前提下,双波纵向共同因子模型(2W-LCFM)和双波潜变化得分模型(2W-LCSM)能够无偏地估计(No Bias)三波二阶潜增长模型(3W-SOLGM)的固定效应;(2)当时间特征残差(Time-specific residual variance)逐渐增大时,双波模型与三波模型经验标准误(Empirical Standard Error)的比例值在某些变化趋势下(Heavy Shrinking 和 Heavy Spreading)会逐渐变大(如下图所示),同时统计效能也会随之降低(最高损失可到达20%)。
这些研究结果表明,当潜变量的变化趋势为线性增长或降低时,研究者也可以考虑使用双波纵向共同因子模型(2W-LCFM)或者双波潜变化得分模型(2W-LCSM)来取代三波二阶潜增长模型(3W-SOLGM)去估计线性变化的固定趋势,但同时必须强调在某些条件下会导致估计效能(efficiency)和统计检验力(statistical power)的损失



论文信息:
Du, C., Hori, K., & Miyazaki, Y. (2025). Two-Wave Models for Latent Changes: How Well Can They Recover the Parameters of the Three-Wave Growth Curve Model? Structural Equation Modeling: A Multidisciplinary Journal, 1–14. https://doi.org/10.1080/10705511.2025.2462926